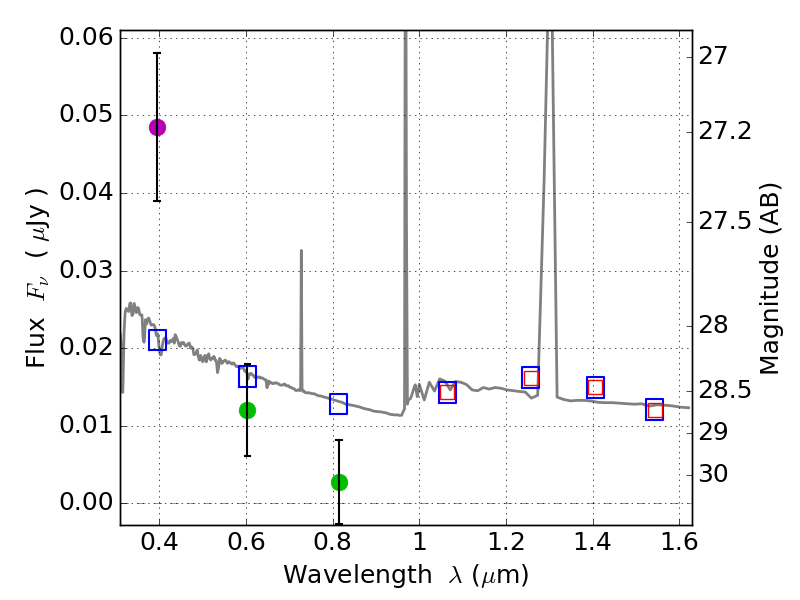
RXS0603+42-N IR detection object #7204

Color images and BPZ results
Catalog: 7204.cat
Black segments are analyzed here.   Roll mouse over color images to view segments.
Best viewed in a wide browser window (1200 pixels or more).   Download SED & P(z) plots to view larger versions.
In P(z) plots: Yellow lines mark the cluster redshift z = 0.228,  

Object #7204   x,y = (3612, 1142)   RA, Dec = (06:03:08.136, 42:14:26.16) = (90.78390, 42.24060)   BPZ = 1.596 [0.711--2.572]   type = 11.00 (SB11_A_0_l)   stellarity = 0.43   chisq2 = 11.87   ODDS = 0.19   z_cluster = 0.228