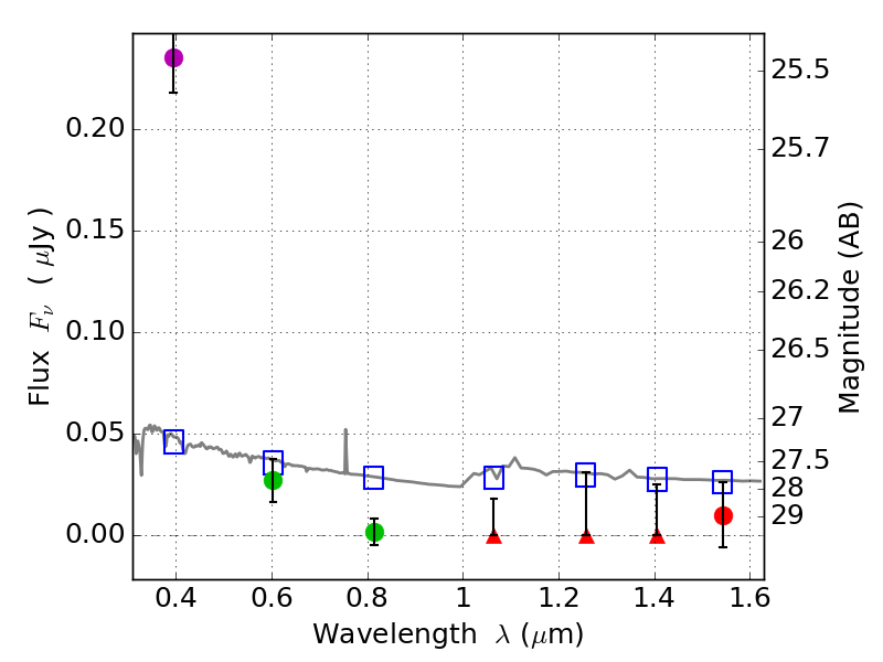
RXS0603+42-N IR detection object #7168

Color images and BPZ results
Catalog: 7168.cat
Black segments are analyzed here.   Roll mouse over color images to view segments.
Best viewed in a wide browser window (1200 pixels or more).   Download SED & P(z) plots to view larger versions.
In P(z) plots: Yellow lines mark the cluster redshift z = 0.228,  

Object #7168   x,y = (2654, 1152)   RA, Dec = (06:03:13.320, 42:14:26.88) = (90.80550, 42.24080)   BPZ = 1.700 [1.403--2.149]   type = 11.00 (SB11_A_0_l)   stellarity = 0.69   chisq2 = 32.86   ODDS = 0.51   z_cluster = 0.228