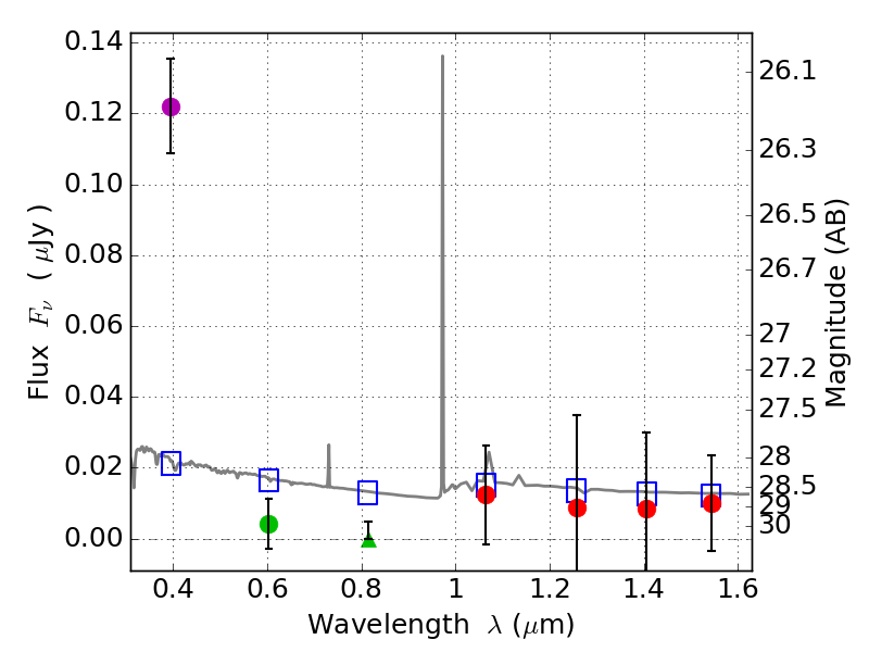
RXS0603+42-N IR detection object #6924

Color images and BPZ results
Catalog: 6924.cat
Black segments are analyzed here.   Roll mouse over color images to view segments.
Best viewed in a wide browser window (1200 pixels or more).   Download SED & P(z) plots to view larger versions.
In P(z) plots: Yellow lines mark the cluster redshift z = 0.228,  

Object #6924   x,y = (3486, 1226)   RA, Dec = (06:03:08.832, 42:14:31.20) = (90.78680, 42.24200)   BPZ = 1.610 [0.870--2.415]   type = 11.00 (SB11_A_0_l)   stellarity = 0.60   chisq2 = 16.66   ODDS = 0.26   z_cluster = 0.228