RXS0603+42-N IR detection object #6912

Color images and BPZ results
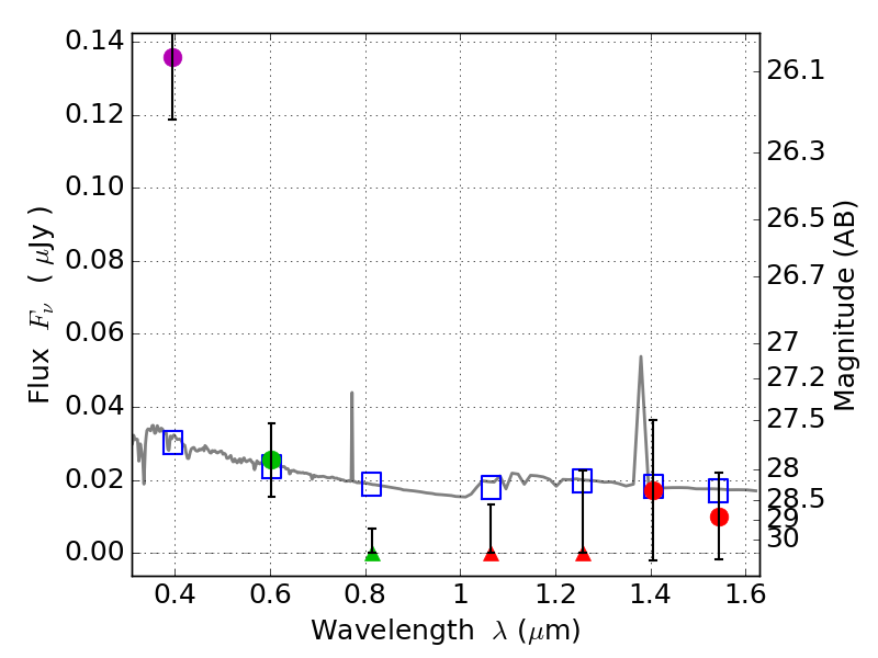
Catalog: 6912.cat
Black segments are analyzed here.   Roll mouse over color images to view segments.
Best viewed in a wide browser window (1200 pixels or more).   Download SED & P(z) plots to view larger versions.
In P(z) plots: Yellow lines mark the cluster redshift z = 0.228,  

Object #6912   x,y = (2055, 1228)   RA, Dec = (06:03:16.560, 42:14:31.56) = (90.81900, 42.24210)   BPZ = 1.762 [0.950--2.470]   type = 11.00 (SB11_A_0_l)   stellarity = 0.51   chisq2 = 11.83   ODDS = 0.30   z_cluster = 0.228