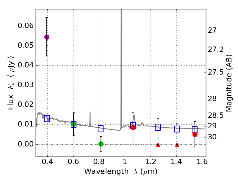
RXS0603+42-N IR detection object #6846

Color images and BPZ results
Catalog: 6846.cat
Black segments are analyzed here.   Roll mouse over color images to view segments.
Best viewed in a wide browser window (1200 pixels or more).   Download SED & P(z) plots to view larger versions.
In P(z) plots: Yellow lines mark the cluster redshift z = 0.228,  

Object #6846   x,y = (2609, 1246)   RA, Dec = (06:03:13.560, 42:14:32.28) = (90.80650, 42.24230)   BPZ = 1.612 [0.487--4.066]   type = 11.00 (SB11_A_0_l)   stellarity = 0.37   chisq2 = 5.79   ODDS = 0.17   z_cluster = 0.228