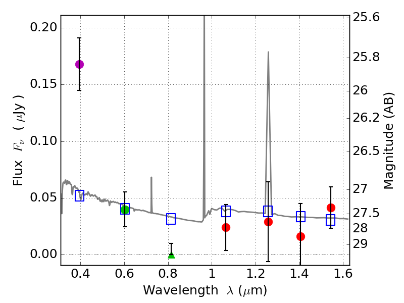
RXS0603+42-N IR detection object #6795

Color images and BPZ results
Catalog: 6795.cat
Black segments are analyzed here.   Roll mouse over color images to view segments.
Best viewed in a wide browser window (1200 pixels or more).   Download SED & P(z) plots to view larger versions.
In P(z) plots: Yellow lines mark the cluster redshift z = 0.228,  

Object #6795   x,y = (2146, 1260)   RA, Dec = (06:03:16.056, 42:14:33.36) = (90.81690, 42.24260)   BPZ = 1.586 [1.147--2.339]   type = 11.00 (SB11_A_0_l)   stellarity = 0.36   chisq2 = 8.71   ODDS = 0.26   z_cluster = 0.228