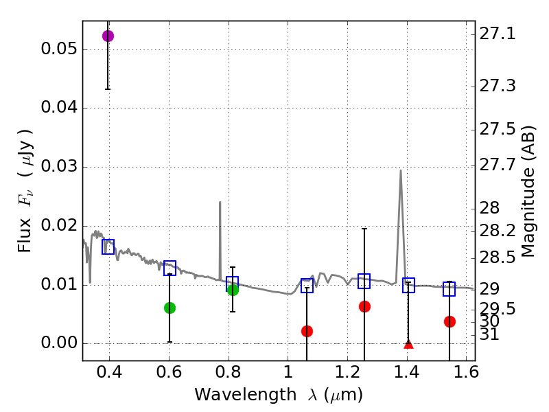
RXS0603+42-N IR detection object #6738

Color images and BPZ results
Catalog: 6738.cat
Black segments are analyzed here.   Roll mouse over color images to view segments.
Best viewed in a wide browser window (1200 pixels or more).   Download SED & P(z) plots to view larger versions.
In P(z) plots: Yellow lines mark the cluster redshift z = 0.228,  

Object #6738   x,y = (2320, 1577)   RA, Dec = (06:03:15.120, 42:14:52.44) = (90.81300, 42.24790)   BPZ = 1.763 [0.342--2.711]   type = 11.00 (SB11_A_0_l)   stellarity = 0.36   chisq2 = 4.79   ODDS = 0.20   z_cluster = 0.228