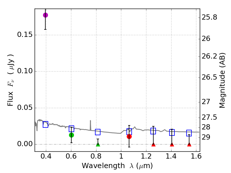
RXS0603+42-N IR detection object #6717

Color images and BPZ results
Catalog: 6717.cat
Black segments are analyzed here.   Roll mouse over color images to view segments.
Best viewed in a wide browser window (1200 pixels or more).   Download SED & P(z) plots to view larger versions.
In P(z) plots: Yellow lines mark the cluster redshift z = 0.228,  

Object #6717   x,y = (2095, 1530)   RA, Dec = (06:03:16.344, 42:14:49.56) = (90.81810, 42.24710)   BPZ = 1.702 [0.554--2.667]   type = 11.00 (SB11_A_0_l)   stellarity = 0.38   chisq2 = 15.89   ODDS = 0.28   z_cluster = 0.228