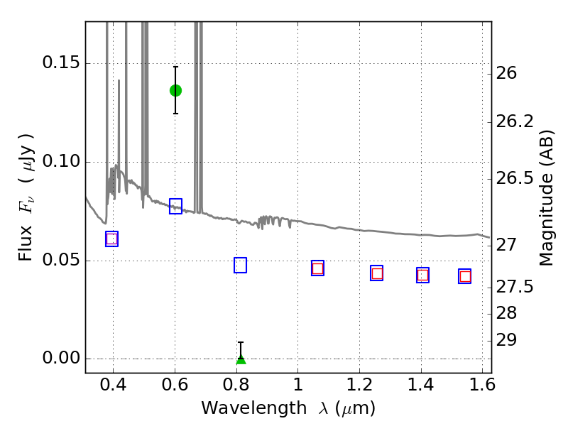
RXS0603+42-N IR detection object #6693

Color images and BPZ results
Catalog: 6693.cat
Black segments are analyzed here.   Roll mouse over color images to view segments.
Best viewed in a wide browser window (1200 pixels or more).   Download SED & P(z) plots to view larger versions.
In P(z) plots: Yellow lines mark the cluster redshift z = 0.228,  

Object #6693   x,y = (1131, 1288)   RA, Dec = (06:03:21.552, 42:14:34.80) = (90.83980, 42.24300)   BPZ = 0.023 [0.010--2.276]   type = 11.00 (SB11_A_0_l)   stellarity = 0.91   chisq2 = 43.59   ODDS = 0.87   z_cluster = 0.228