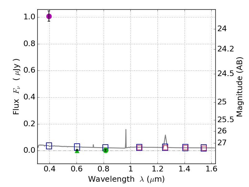
RXS0603+42-N IR detection object #6614

Color images and BPZ results
Catalog: 6614.cat
Black segments are analyzed here.   Roll mouse over color images to view segments.
Best viewed in a wide browser window (1200 pixels or more).   Download SED & P(z) plots to view larger versions.
In P(z) plots: Yellow lines mark the cluster redshift z = 0.228,  

Object #6614   x,y = (1336, 1306)   RA, Dec = (06:03:20.448, 42:14:35.88) = (90.83520, 42.24330)   BPZ = 1.594 [1.107--2.161]   type = 11.00 (SB11_A_0_l)   stellarity = 0.66   chisq2 = 637.70   ODDS = 0.32   z_cluster = 0.228