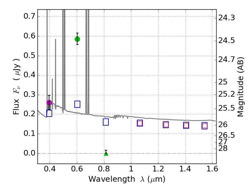
RXS0603+42-N IR detection object #6594

Color images and BPZ results
Catalog: 6594.cat
Black segments are analyzed here.   Roll mouse over color images to view segments.
Best viewed in a wide browser window (1200 pixels or more).   Download SED & P(z) plots to view larger versions.
In P(z) plots: Yellow lines mark the cluster redshift z = 0.228,  

Object #6594   x,y = (3536, 1200)   RA, Dec = (06:03:08.544, 42:14:29.76) = (90.78560, 42.24160)   BPZ = 0.017 [0.010--0.037]   type = 11.00 (SB11_A_0_l)   stellarity = 0.04   chisq2 = 147.40   ODDS = 1.00   z_cluster = 0.228