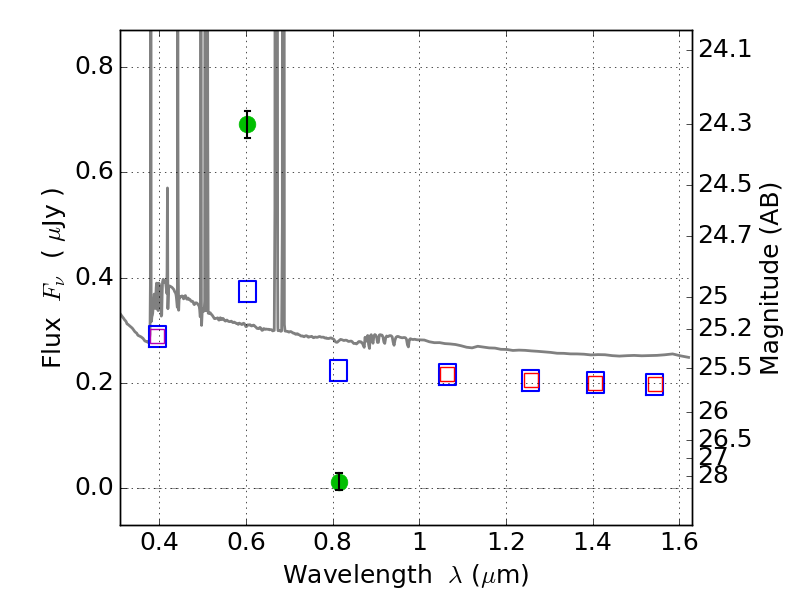
RXS0603+42-N IR detection object #6556

Color images and BPZ results
Catalog: 6556.cat
Black segments are analyzed here.   Roll mouse over color images to view segments.
Best viewed in a wide browser window (1200 pixels or more).   Download SED & P(z) plots to view larger versions.
In P(z) plots: Yellow lines mark the cluster redshift z = 0.228,  

Object #6556   x,y = (1085, 1324)   RA, Dec = (06:03:21.792, 42:14:36.96) = (90.84080, 42.24360)   BPZ = 0.016 [0.010--0.032]   type = 11.00 (SB11_A_0_l)   stellarity = 1.00   chisq2 = 130.00   ODDS = 1.00   z_cluster = 0.228