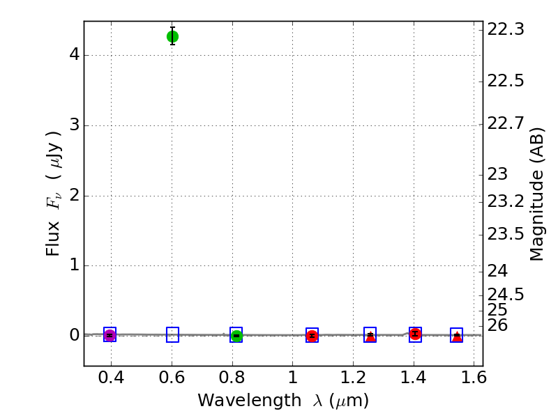
RXS0603+42-N IR detection object #6438

Color images and BPZ results
Catalog: 6438.cat
Black segments are analyzed here.   Roll mouse over color images to view segments.
Best viewed in a wide browser window (1200 pixels or more).   Download SED & P(z) plots to view larger versions.
In P(z) plots: Yellow lines mark the cluster redshift z = 0.228,  

Object #6438   x,y = (4007, 1358)   RA, Dec = (06:03:06.000, 42:14:39.12) = (90.77500, 42.24420)   BPZ = 1.759 [0.279--6.071]   type = 11.00 (SB11_A_0_l)   stellarity = 0.81   chisq2 = 286.00   ODDS = 0.08   z_cluster = 0.228