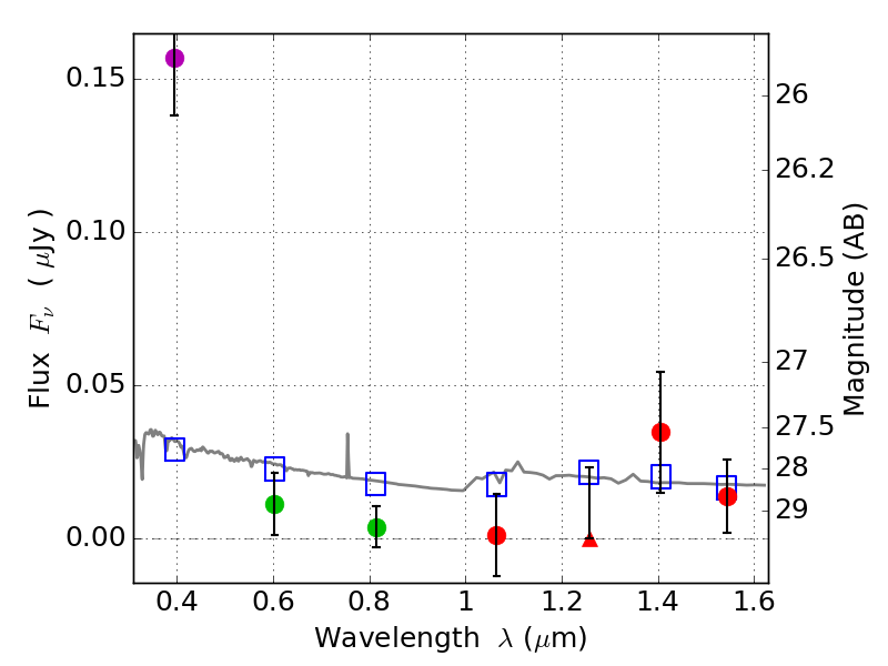
RXS0603+42-N IR detection object #6409

Color images and BPZ results
Catalog: 6409.cat
Black segments are analyzed here.   Roll mouse over color images to view segments.
Best viewed in a wide browser window (1200 pixels or more).   Download SED & P(z) plots to view larger versions.
In P(z) plots: Yellow lines mark the cluster redshift z = 0.228,  

Object #6409   x,y = (2224, 1371)   RA, Dec = (06:03:15.648, 42:14:39.84) = (90.81520, 42.24440)   BPZ = 1.696 [0.838--2.533]   type = 11.00 (SB11_A_0_l)   stellarity = 0.46   chisq2 = 13.07   ODDS = 0.25   z_cluster = 0.228