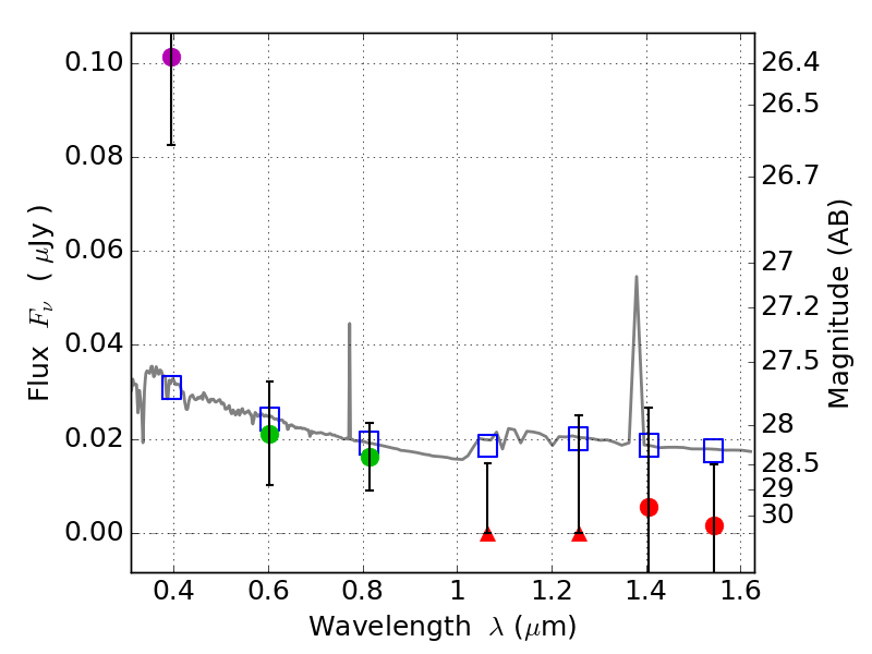
RXS0603+42-N IR detection object #6405

Color images and BPZ results
Catalog: 6405.cat
Black segments are analyzed here.   Roll mouse over color images to view segments.
Best viewed in a wide browser window (1200 pixels or more).   Download SED & P(z) plots to view larger versions.
In P(z) plots: Yellow lines mark the cluster redshift z = 0.228,  

Object #6405   x,y = (1894, 1369)   RA, Dec = (06:03:17.424, 42:14:39.84) = (90.82260, 42.24440)   BPZ = 1.763 [0.267--2.806]   type = 11.00 (SB11_A_0_l)   stellarity = 0.43   chisq2 = 4.49   ODDS = 0.19   z_cluster = 0.228