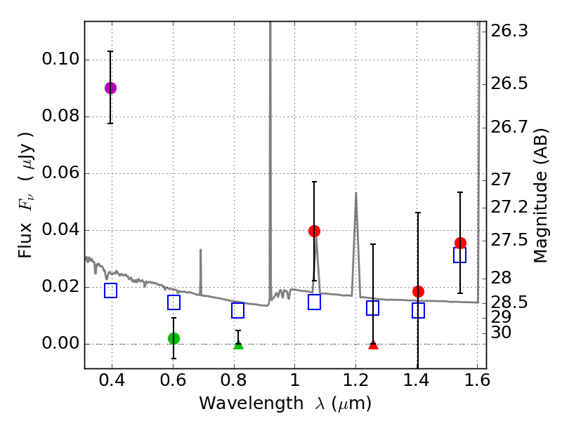
RXS0603+42-N IR detection object #6380

Color images and BPZ results
Catalog: 6380.cat
Black segments are analyzed here.   Roll mouse over color images to view segments.
Best viewed in a wide browser window (1200 pixels or more).   Download SED & P(z) plots to view larger versions.
In P(z) plots: Yellow lines mark the cluster redshift z = 0.228,  

Object #6380   x,y = (1758, 1379)   RA, Dec = (06:03:18.168, 42:14:40.56) = (90.82570, 42.24460)   BPZ = 1.469 [0.765--6.178]   type = 11.00 (SB11_A_0_l)   stellarity = 0.36   chisq2 = 10.31   ODDS = 0.21   z_cluster = 0.228