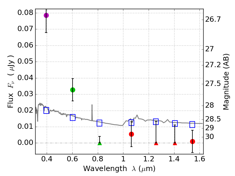
RXS0603+42-N IR detection object #6379

Color images and BPZ results
Catalog: 6379.cat
Black segments are analyzed here.   Roll mouse over color images to view segments.
Best viewed in a wide browser window (1200 pixels or more).   Download SED & P(z) plots to view larger versions.
In P(z) plots: Yellow lines mark the cluster redshift z = 0.228,  

Object #6379   x,y = (3238, 1379)   RA, Dec = (06:03:10.152, 42:14:40.56) = (90.79230, 42.24460)   BPZ = 1.701 [0.891--2.516]   type = 11.00 (SB11_A_0_l)   stellarity = 0.40   chisq2 = 12.16   ODDS = 0.36   z_cluster = 0.228