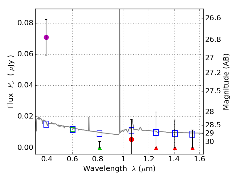
RXS0603+42-N IR detection object #6352

Color images and BPZ results
Catalog: 6352.cat
Black segments are analyzed here.   Roll mouse over color images to view segments.
Best viewed in a wide browser window (1200 pixels or more).   Download SED & P(z) plots to view larger versions.
In P(z) plots: Yellow lines mark the cluster redshift z = 0.228,  

Object #6352   x,y = (4043, 1387)   RA, Dec = (06:03:05.808, 42:14:40.92) = (90.77420, 42.24470)   BPZ = 1.611 [0.404--5.896]   type = 11.00 (SB11_A_0_l)   stellarity = 0.37   chisq2 = 9.90   ODDS = 0.15   z_cluster = 0.228