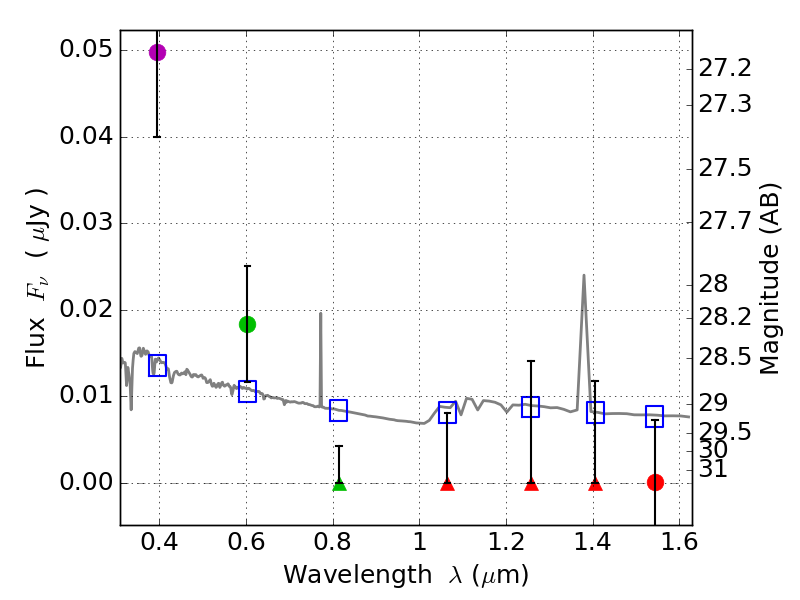
RXS0603+42-N IR detection object #6349

Color images and BPZ results
Catalog: 6349.cat
Black segments are analyzed here.   Roll mouse over color images to view segments.
Best viewed in a wide browser window (1200 pixels or more).   Download SED & P(z) plots to view larger versions.
In P(z) plots: Yellow lines mark the cluster redshift z = 0.228,  

Object #6349   x,y = (2387, 1388)   RA, Dec = (06:03:14.760, 42:14:40.92) = (90.81150, 42.24470)   BPZ = 1.763 [0.315--3.580]   type = 11.00 (SB11_A_0_l)   stellarity = 0.36   chisq2 = 5.34   ODDS = 0.18   z_cluster = 0.228