RXS0603+42-N IR detection object #6346

Color images and BPZ results
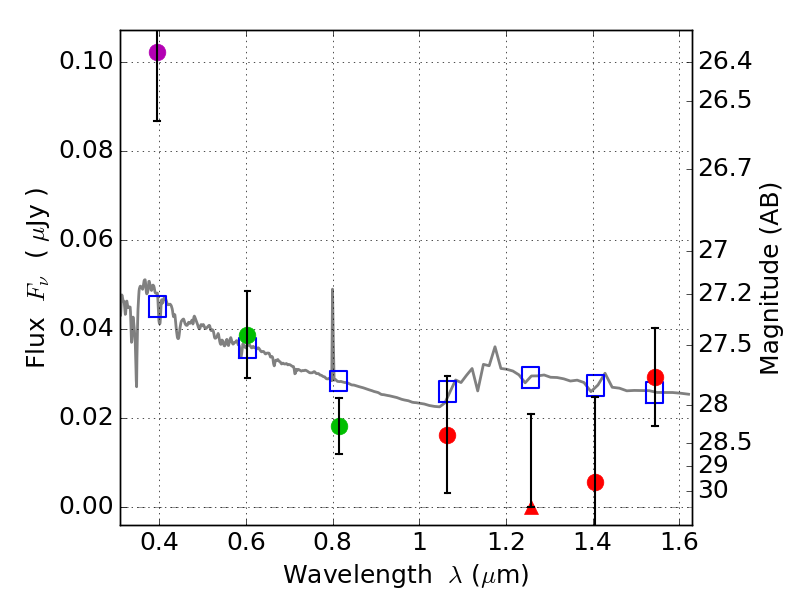
Catalog: 6346.cat
Black segments are analyzed here.   Roll mouse over color images to view segments.
Best viewed in a wide browser window (1200 pixels or more).   Download SED & P(z) plots to view larger versions.
In P(z) plots: Yellow lines mark the cluster redshift z = 0.228,  

Object #6346   x,y = (2364, 1388)   RA, Dec = (06:03:14.880, 42:14:40.92) = (90.81200, 42.24470)   BPZ = 1.860 [1.163--2.475]   type = 11.00 (SB11_A_0_l)   stellarity = 0.36   chisq2 = 4.73   ODDS = 0.30   z_cluster = 0.228