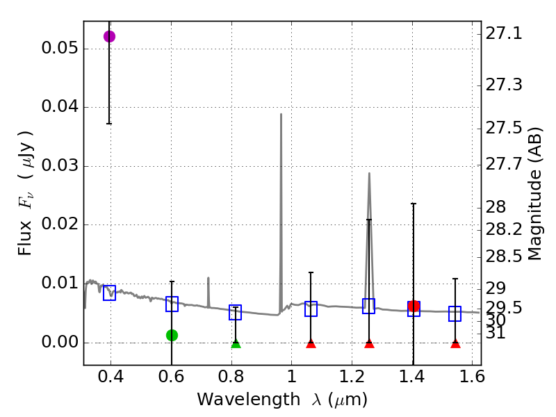
RXS0603+42-N IR detection object #6258

Color images and BPZ results
Catalog: 6258.cat
Black segments are analyzed here.   Roll mouse over color images to view segments.
Best viewed in a wide browser window (1200 pixels or more).   Download SED & P(z) plots to view larger versions.
In P(z) plots: Yellow lines mark the cluster redshift z = 0.228,  

Object #6258   x,y = (1883, 1419)   RA, Dec = (06:03:17.496, 42:14:42.72) = (90.82290, 42.24520)   BPZ = 1.595 [0.340--8.819]   type = 11.00 (SB11_A_0_l)   stellarity = 0.06   chisq2 = 2.51   ODDS = 0.06   z_cluster = 0.228