RXS0603+42-N IR detection object #6245

Color images and BPZ results
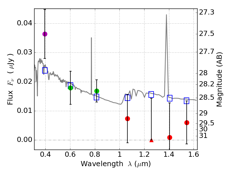
Catalog: 6245.cat
Black segments are analyzed here.   Roll mouse over color images to view segments.
Best viewed in a wide browser window (1200 pixels or more).   Download SED & P(z) plots to view larger versions.
In P(z) plots: Yellow lines mark the cluster redshift z = 0.228,  

Object #6245   x,y = (2294, 1423)   RA, Dec = (06:03:15.264, 42:14:43.08) = (90.81360, 42.24530)   BPZ = 1.764 [0.133--2.775]   type = 11.00 (SB11_A_0_l)   stellarity = 0.36   chisq2 = 1.63   ODDS = 0.15   z_cluster = 0.228