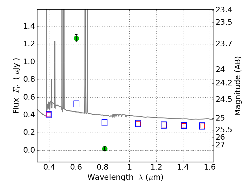
RXS0603+42-N IR detection object #6220

Color images and BPZ results
Catalog: 6220.cat
Black segments are analyzed here.   Roll mouse over color images to view segments.
Best viewed in a wide browser window (1200 pixels or more).   Download SED & P(z) plots to view larger versions.
In P(z) plots: Yellow lines mark the cluster redshift z = 0.228,  

Object #6220   x,y = (1002, 1431)   RA, Dec = (06:03:22.248, 42:14:43.44) = (90.84270, 42.24540)   BPZ = 0.016 [0.010--0.031]   type = 11.00 (SB11_A_0_l)   stellarity = 0.95   chisq2 = 235.80   ODDS = 1.00   z_cluster = 0.228