RXS0603+42-N IR detection object #5983

Color images and BPZ results
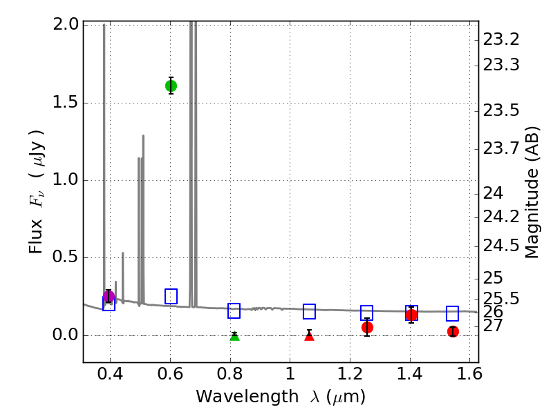
Catalog: 5983.cat
Black segments are analyzed here.   Roll mouse over color images to view segments.
Best viewed in a wide browser window (1200 pixels or more).   Download SED & P(z) plots to view larger versions.
In P(z) plots: Yellow lines mark the cluster redshift z = 0.228,  

Object #5983   x,y = (3445, 1452)   RA, Dec = (06:03:09.048, 42:14:44.88) = (90.78770, 42.24580)   BPZ = 0.017 [0.010--0.037]   type = 11.00 (SB11_A_0_l)   stellarity = 0.00   chisq2 = 169.60   ODDS = 1.00   z_cluster = 0.228