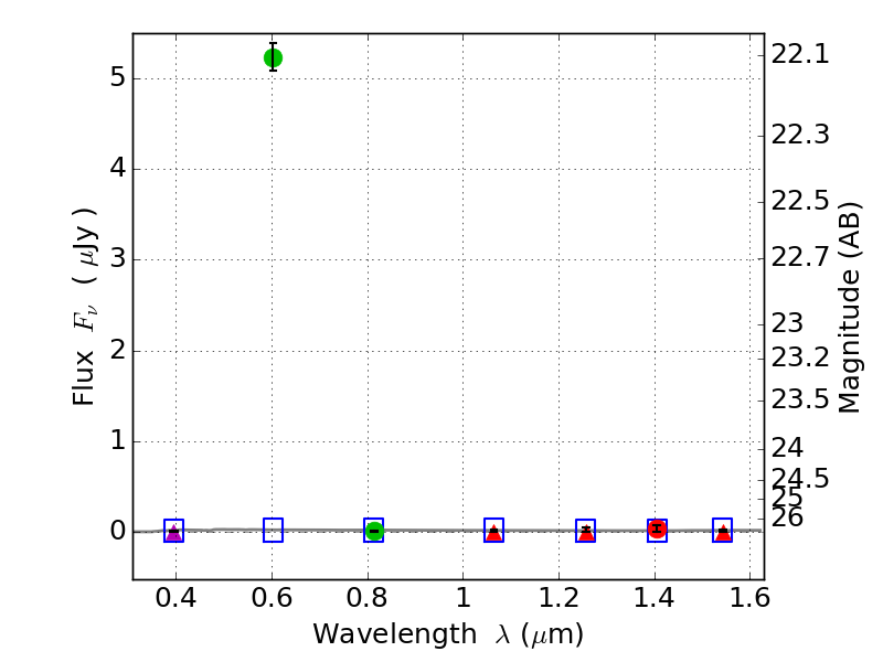
RXS0603+42-N IR detection object #5905

Color images and BPZ results
Catalog: 5905.cat
Black segments are analyzed here.   Roll mouse over color images to view segments.
Best viewed in a wide browser window (1200 pixels or more).   Download SED & P(z) plots to view larger versions.
In P(z) plots: Yellow lines mark the cluster redshift z = 0.228,  

Object #5905   x,y = (4098, 1519)   RA, Dec = (06:03:05.520, 42:14:48.84) = (90.77300, 42.24690)   BPZ = 2.898 [0.218--4.541]   type = 11.00 (SB11_A_0_l)   stellarity = 0.95   chisq2 = 285.60   ODDS = 0.10   z_cluster = 0.228