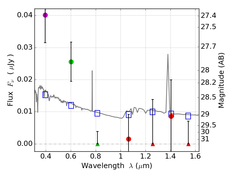
RXS0603+42-N IR detection object #5820

Color images and BPZ results
Catalog: 5820.cat
Black segments are analyzed here.   Roll mouse over color images to view segments.
Best viewed in a wide browser window (1200 pixels or more).   Download SED & P(z) plots to view larger versions.
In P(z) plots: Yellow lines mark the cluster redshift z = 0.228,  

Object #5820   x,y = (2382, 1561)   RA, Dec = (06:03:14.784, 42:14:51.36) = (90.81160, 42.24760)   BPZ = 1.762 [0.388--2.807]   type = 11.00 (SB11_A_0_l)   stellarity = 0.36   chisq2 = 5.39   ODDS = 0.24   z_cluster = 0.228