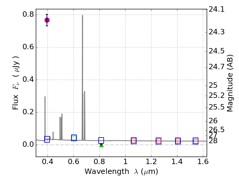
RXS0603+42-N IR detection object #5815

Color images and BPZ results
Catalog: 5815.cat
Black segments are analyzed here.   Roll mouse over color images to view segments.
Best viewed in a wide browser window (1200 pixels or more).   Download SED & P(z) plots to view larger versions.
In P(z) plots: Yellow lines mark the cluster redshift z = 0.228,  

Object #5815   x,y = (4235, 1561)   RA, Dec = (06:03:04.776, 42:14:51.36) = (90.76990, 42.24760)   BPZ = 0.023 [0.010--0.513]   type = 11.00 (SB11_A_0_l)   stellarity = 0.99   chisq2 = 431.50   ODDS = 0.89   z_cluster = 0.228