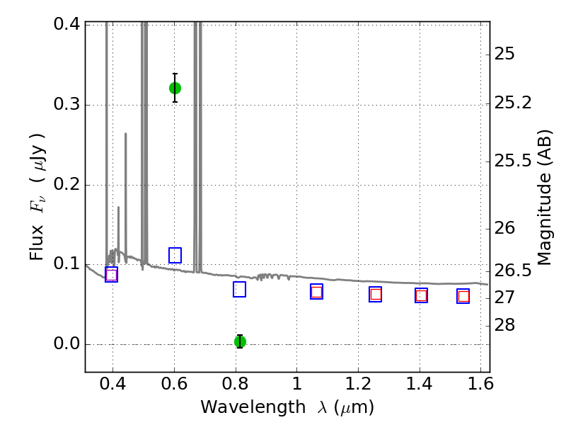
RXS0603+42-N IR detection object #5777

Color images and BPZ results
Catalog: 5777.cat
Black segments are analyzed here.   Roll mouse over color images to view segments.
Best viewed in a wide browser window (1200 pixels or more).   Download SED & P(z) plots to view larger versions.
In P(z) plots: Yellow lines mark the cluster redshift z = 0.228,  

Object #5777   x,y = (1074, 1568)   RA, Dec = (06:03:21.864, 42:14:51.72) = (90.84110, 42.24770)   BPZ = 0.019 [0.010--0.040]   type = 11.00 (SB11_A_0_l)   stellarity = 0.70   chisq2 = 158.20   ODDS = 1.00   z_cluster = 0.228