RXS0603+42-N IR detection object #5769

Color images and BPZ results
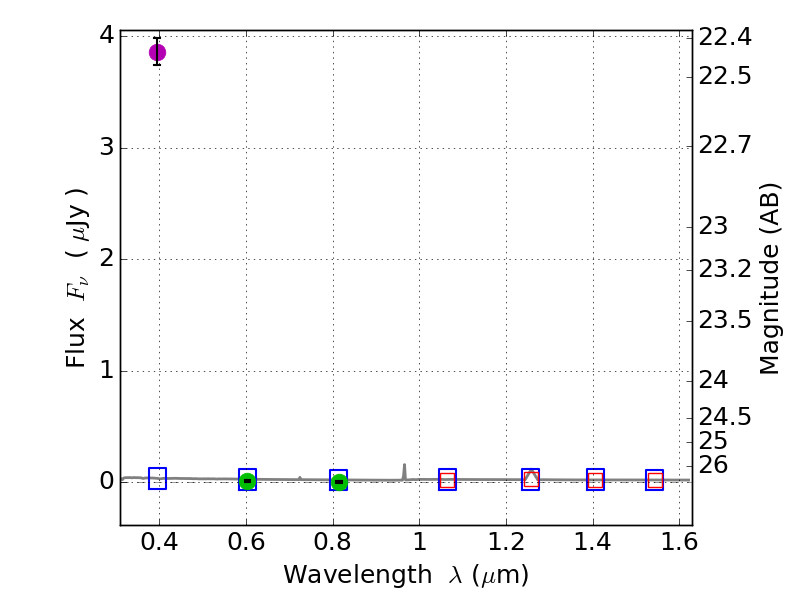
Catalog: 5769.cat
Black segments are analyzed here.   Roll mouse over color images to view segments.
Best viewed in a wide browser window (1200 pixels or more).   Download SED & P(z) plots to view larger versions.
In P(z) plots: Yellow lines mark the cluster redshift z = 0.228,  

Object #5769   x,y = (1211, 1576)   RA, Dec = (06:03:21.120, 42:14:52.44) = (90.83800, 42.24790)   BPZ = 1.595 [0.719--2.648]   type = 11.00 (SB11_A_0_l)   stellarity = 0.71   chisq2 = 1076.00   ODDS = 0.21   z_cluster = 0.228