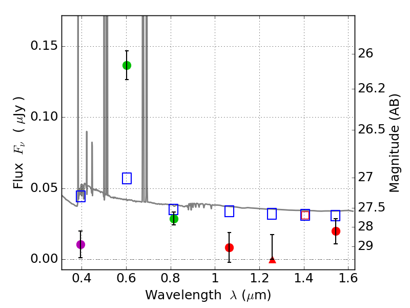
RXS0603+42-N IR detection object #5759

Color images and BPZ results
Catalog: 5759.cat
Black segments are analyzed here.   Roll mouse over color images to view segments.
Best viewed in a wide browser window (1200 pixels or more).   Download SED & P(z) plots to view larger versions.
In P(z) plots: Yellow lines mark the cluster redshift z = 0.228,  

Object #5759   x,y = (3889, 1584)   RA, Dec = (06:03:06.648, 42:14:52.80) = (90.77770, 42.24800)   BPZ = 0.029 [0.012--3.242]   type = 11.00 (SB11_A_0_l)   stellarity = 0.62   chisq2 = 25.57   ODDS = 0.55   z_cluster = 0.228