RXS0603+42-N IR detection object #5711

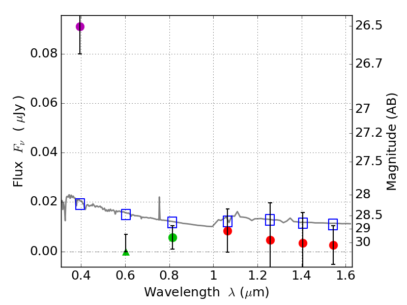
Color images and BPZ results
Catalog: 5711.cat
Black segments are analyzed here.   Roll mouse over color images to view segments.
Best viewed in a wide browser window (1200 pixels or more).   Download SED & P(z) plots to view larger versions.
In P(z) plots: Yellow lines mark the cluster redshift z = 0.228,  

Object #5711   x,y = (2747, 1602)   RA, Dec = (06:03:12.816, 42:14:53.88) = (90.80340, 42.24830)   BPZ = 1.702 [0.608--2.482]   type = 11.00 (SB11_A_0_l)   stellarity = 0.37   chisq2 = 12.33   ODDS = 0.29   z_cluster = 0.228