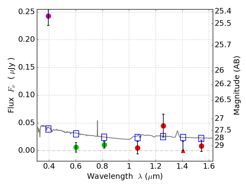
RXS0603+42-N IR detection object #5708

Color images and BPZ results
Catalog: 5708.cat
Black segments are analyzed here.   Roll mouse over color images to view segments.
Best viewed in a wide browser window (1200 pixels or more).   Download SED & P(z) plots to view larger versions.
In P(z) plots: Yellow lines mark the cluster redshift z = 0.228,  

Object #5708   x,y = (1941, 1603)   RA, Dec = (06:03:17.160, 42:14:53.88) = (90.82150, 42.24830)   BPZ = 1.730 [1.232--2.153]   type = 11.00 (SB11_A_0_l)   stellarity = 0.59   chisq2 = 38.42   ODDS = 0.52   z_cluster = 0.228