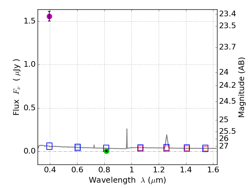
RXS0603+42-N IR detection object #5702

Color images and BPZ results
Catalog: 5702.cat
Black segments are analyzed here.   Roll mouse over color images to view segments.
Best viewed in a wide browser window (1200 pixels or more).   Download SED & P(z) plots to view larger versions.
In P(z) plots: Yellow lines mark the cluster redshift z = 0.228,  

Object #5702   x,y = (4360, 1598)   RA, Dec = (06:03:04.104, 42:14:53.52) = (90.76710, 42.24820)   BPZ = 1.594 [1.313--2.089]   type = 11.00 (SB11_A_0_l)   stellarity = 1.00   chisq2 = 709.50   ODDS = 0.42   z_cluster = 0.228