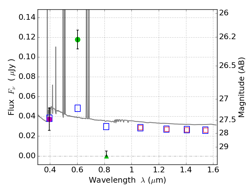
RXS0603+42-N IR detection object #5691

Color images and BPZ results
Catalog: 5691.cat
Black segments are analyzed here.   Roll mouse over color images to view segments.
Best viewed in a wide browser window (1200 pixels or more).   Download SED & P(z) plots to view larger versions.
In P(z) plots: Yellow lines mark the cluster redshift z = 0.228,  

Object #5691   x,y = (1517, 1611)   RA, Dec = (06:03:19.464, 42:14:54.24) = (90.83110, 42.24840)   BPZ = 0.022 [0.010--2.050]   type = 11.00 (SB11_A_0_l)   stellarity = 0.50   chisq2 = 72.54   ODDS = 0.91   z_cluster = 0.228