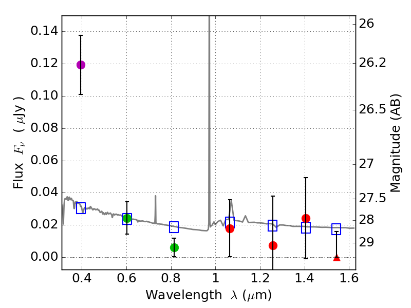
RXS0603+42-N IR detection object #5686

Color images and BPZ results
Catalog: 5686.cat
Black segments are analyzed here.   Roll mouse over color images to view segments.
Best viewed in a wide browser window (1200 pixels or more).   Download SED & P(z) plots to view larger versions.
In P(z) plots: Yellow lines mark the cluster redshift z = 0.228,  

Object #5686   x,y = (4115, 1612)   RA, Dec = (06:03:05.424, 42:14:54.24) = (90.77260, 42.24840)   BPZ = 1.610 [0.730--2.547]   type = 11.00 (SB11_A_0_l)   stellarity = 0.67   chisq2 = 7.20   ODDS = 0.26   z_cluster = 0.228