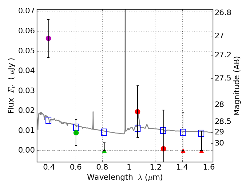
RXS0603+42-N IR detection object #5513

Color images and BPZ results
Catalog: 5513.cat
Black segments are analyzed here.   Roll mouse over color images to view segments.
Best viewed in a wide browser window (1200 pixels or more).   Download SED & P(z) plots to view larger versions.
In P(z) plots: Yellow lines mark the cluster redshift z = 0.228,  

Object #5513   x,y = (1746, 1670)   RA, Dec = (06:03:18.216, 42:14:57.84) = (90.82590, 42.24940)   BPZ = 1.612 [0.492--2.953]   type = 11.00 (SB11_A_0_l)   stellarity = 0.47   chisq2 = 6.36   ODDS = 0.21   z_cluster = 0.228