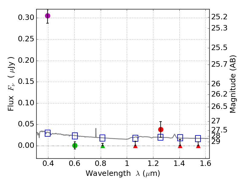
RXS0603+42-N IR detection object #5433

Color images and BPZ results
Catalog: 5433.cat
Black segments are analyzed here.   Roll mouse over color images to view segments.
Best viewed in a wide browser window (1200 pixels or more).   Download SED & P(z) plots to view larger versions.
In P(z) plots: Yellow lines mark the cluster redshift z = 0.228,  

Object #5433   x,y = (2399, 1687)   RA, Dec = (06:03:14.688, 42:14:58.92) = (90.81120, 42.24970)   BPZ = 1.729 [1.218--2.181]   type = 11.00 (SB11_A_0_l)   stellarity = 0.68   chisq2 = 63.25   ODDS = 0.51   z_cluster = 0.228