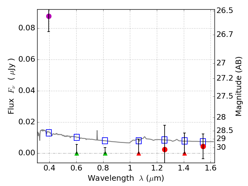
RXS0603+42-N IR detection object #5430

Color images and BPZ results
Catalog: 5430.cat
Black segments are analyzed here.   Roll mouse over color images to view segments.
Best viewed in a wide browser window (1200 pixels or more).   Download SED & P(z) plots to view larger versions.
In P(z) plots: Yellow lines mark the cluster redshift z = 0.228,  

Object #5430   x,y = (1801, 1693)   RA, Dec = (06:03:17.928, 42:14:59.28) = (90.82470, 42.24980)   BPZ = 1.700 [0.571--4.169]   type = 11.00 (SB11_A_0_l)   stellarity = 0.36   chisq2 = 15.87   ODDS = 0.21   z_cluster = 0.228