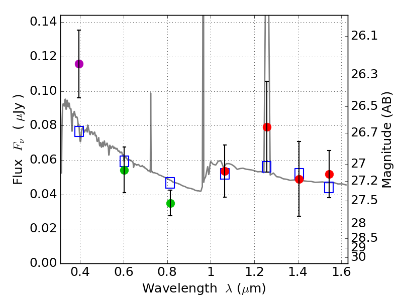
RXS0603+42-N IR detection object #5410

Color images and BPZ results
Catalog: 5410.cat
Black segments are analyzed here.   Roll mouse over color images to view segments.
Best viewed in a wide browser window (1200 pixels or more).   Download SED & P(z) plots to view larger versions.
In P(z) plots: Yellow lines mark the cluster redshift z = 0.228,  

Object #5410   x,y = (3769, 1691)   RA, Dec = (06:03:07.296, 42:14:59.28) = (90.78040, 42.24980)   BPZ = 1.595 [1.136--2.260]   type = 11.00 (SB11_A_0_l)   stellarity = 0.45   chisq2 = 1.63   ODDS = 0.34   z_cluster = 0.228