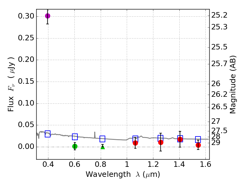
RXS0603+42-N IR detection object #5373

Color images and BPZ results
Catalog: 5373.cat
Black segments are analyzed here.   Roll mouse over color images to view segments.
Best viewed in a wide browser window (1200 pixels or more).   Download SED & P(z) plots to view larger versions.
In P(z) plots: Yellow lines mark the cluster redshift z = 0.228,  

Object #5373   x,y = (3858, 1706)   RA, Dec = (06:03:06.816, 42:15:00.00) = (90.77840, 42.25000)   BPZ = 1.698 [1.100--2.219]   type = 11.00 (SB11_A_0_l)   stellarity = 0.81   chisq2 = 53.03   ODDS = 0.45   z_cluster = 0.228