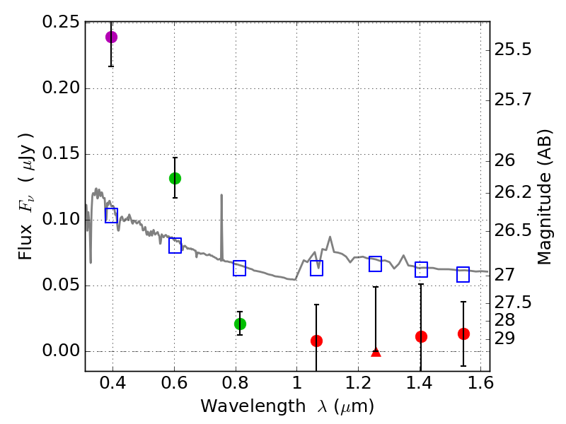
RXS0603+42-N IR detection object #5361

Color images and BPZ results
Catalog: 5361.cat
Black segments are analyzed here.   Roll mouse over color images to view segments.
Best viewed in a wide browser window (1200 pixels or more).   Download SED & P(z) plots to view larger versions.
In P(z) plots: Yellow lines mark the cluster redshift z = 0.228,  

Object #5361   x,y = (4073, 1679)   RA, Dec = (06:03:05.640, 42:14:58.56) = (90.77350, 42.24960)   BPZ = 1.700 [1.540--2.114]   type = 11.00 (SB11_A_0_l)   stellarity = 0.10   chisq2 = 16.64   ODDS = 0.57   z_cluster = 0.228