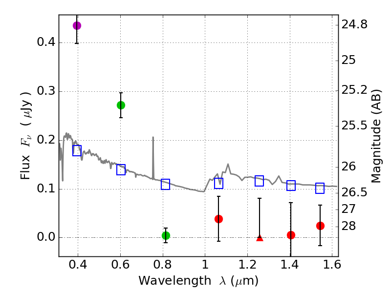
RXS0603+42-N IR detection object #5350

Color images and BPZ results
Catalog: 5350.cat
Black segments are analyzed here.   Roll mouse over color images to view segments.
Best viewed in a wide browser window (1200 pixels or more).   Download SED & P(z) plots to view larger versions.
In P(z) plots: Yellow lines mark the cluster redshift z = 0.228,  

Object #5350   x,y = (4069, 1689)   RA, Dec = (06:03:05.664, 42:14:58.92) = (90.77360, 42.24970)   BPZ = 1.701 [1.501--2.038]   type = 11.00 (SB11_A_0_l)   stellarity = 0.03   chisq2 = 25.89   ODDS = 0.63   z_cluster = 0.228