RXS0603+42-N IR detection object #5340

Color images and BPZ results
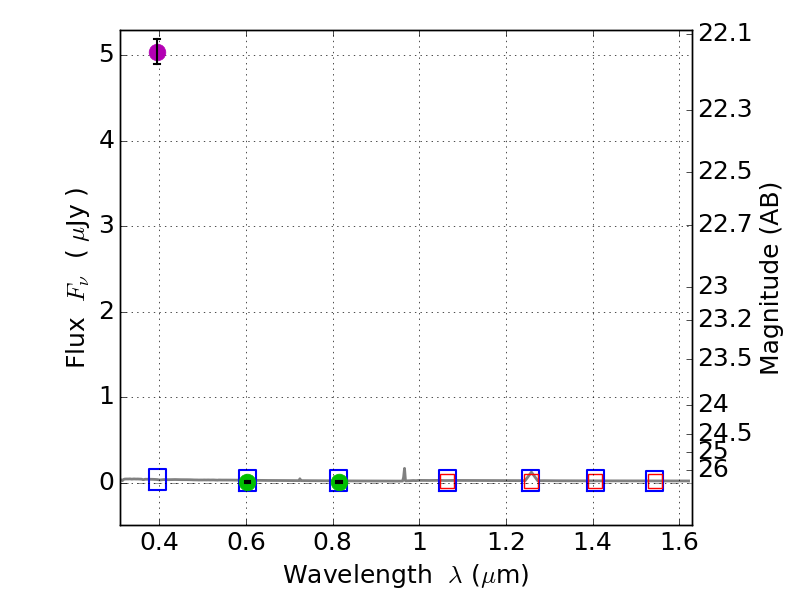
Catalog: 5340.cat
Black segments are analyzed here.   Roll mouse over color images to view segments.
Best viewed in a wide browser window (1200 pixels or more).   Download SED & P(z) plots to view larger versions.
In P(z) plots: Yellow lines mark the cluster redshift z = 0.228,  

Object #5340   x,y = (1262, 1713)   RA, Dec = (06:03:20.832, 42:15:00.36) = (90.83680, 42.25010)   BPZ = 1.594 [0.555--2.753]   type = 11.00 (SB11_A_0_l)   stellarity = 0.88   chisq2 = 1126.00   ODDS = 0.18   z_cluster = 0.228