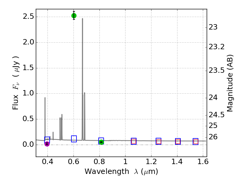
RXS0603+42-N IR detection object #5322

Color images and BPZ results
Catalog: 5322.cat
Black segments are analyzed here.   Roll mouse over color images to view segments.
Best viewed in a wide browser window (1200 pixels or more).   Download SED & P(z) plots to view larger versions.
In P(z) plots: Yellow lines mark the cluster redshift z = 0.228,  

Object #5322   x,y = (4204, 1709)   RA, Dec = (06:03:04.944, 42:15:00.36) = (90.77060, 42.25010)   BPZ = 0.025 [0.012--3.316]   type = 11.00 (SB11_A_0_l)   stellarity = 0.68   chisq2 = 977.70   ODDS = 0.41   z_cluster = 0.228