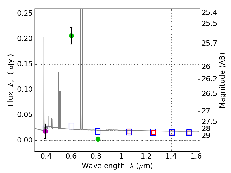
RXS0603+42-N IR detection object #53

Color images and BPZ results
Catalog: 53.cat
Black segments are analyzed here.   Roll mouse over color images to view segments.
Best viewed in a wide browser window (1200 pixels or more).   Download SED & P(z) plots to view larger versions.
In P(z) plots: Yellow lines mark the cluster redshift z = 0.228,  

Object #53   x,y = (2369, 3808)   RA, Dec = (06:03:14.856, 42:17:06.00) = (90.81190, 42.28500)   BPZ = 0.027 [0.034--3.207]   type = 11.00 (SB11_A_0_l)   stellarity = 0.71   chisq2 = 130.70   ODDS = 0.04   z_cluster = 0.228