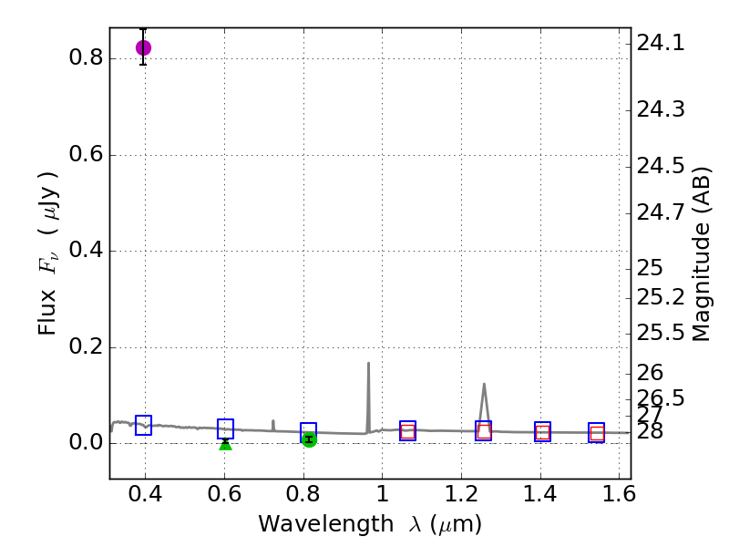
RXS0603+42-N IR detection object #5206

Color images and BPZ results
Catalog: 5206.cat
Black segments are analyzed here.   Roll mouse over color images to view segments.
Best viewed in a wide browser window (1200 pixels or more).   Download SED & P(z) plots to view larger versions.
In P(z) plots: Yellow lines mark the cluster redshift z = 0.228,  

Object #5206   x,y = (1305, 1760)   RA, Dec = (06:03:20.616, 42:15:03.24) = (90.83590, 42.25090)   BPZ = 1.593 [1.086--2.154]   type = 11.00 (SB11_A_0_l)   stellarity = 0.65   chisq2 = 484.60   ODDS = 0.32   z_cluster = 0.228