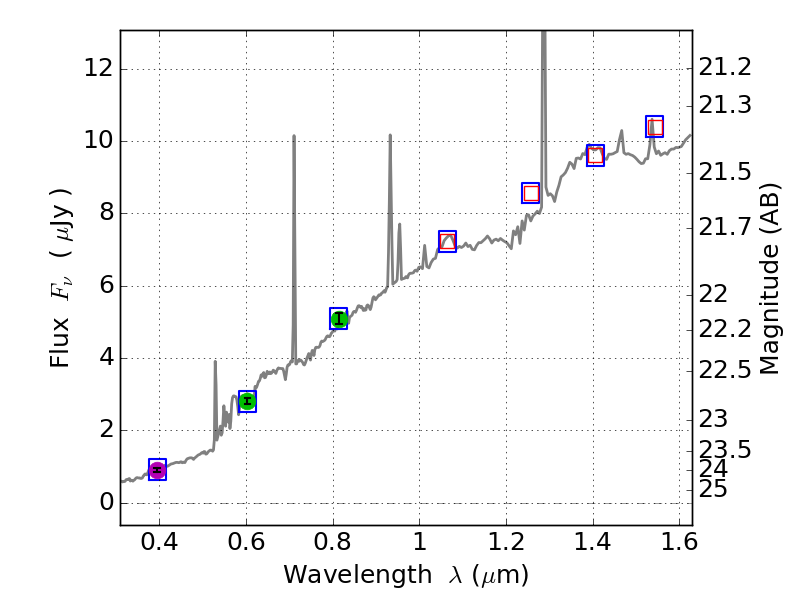
RXS0603+42-N IR detection object #5195

Color images and BPZ results
Catalog: 5195.cat
Black segments are analyzed here.   Roll mouse over color images to view segments.
Best viewed in a wide browser window (1200 pixels or more).   Download SED & P(z) plots to view larger versions.
In P(z) plots: Yellow lines mark the cluster redshift z = 0.228,  

Object #5195   x,y = (1510, 1848)   RA, Dec = (06:03:19.512, 42:15:08.64) = (90.83130, 42.25240)   BPZ = 0.421 [0.169--0.527]   type = 6.90 (Scd_B10 - Sbc_B10)   stellarity = 0.00   chisq2 = 0.00   ODDS = 0.57   z_cluster = 0.228