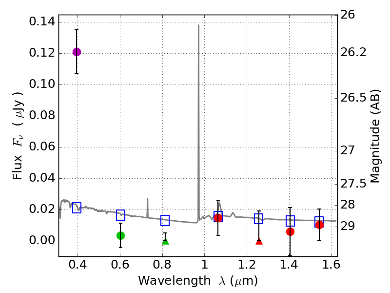
RXS0603+42-N IR detection object #5177

Color images and BPZ results
Catalog: 5177.cat
Black segments are analyzed here.   Roll mouse over color images to view segments.
Best viewed in a wide browser window (1200 pixels or more).   Download SED & P(z) plots to view larger versions.
In P(z) plots: Yellow lines mark the cluster redshift z = 0.228,  

Object #5177   x,y = (1950, 1769)   RA, Dec = (06:03:17.112, 42:15:03.96) = (90.82130, 42.25110)   BPZ = 1.612 [0.761--2.493]   type = 11.00 (SB11_A_0_l)   stellarity = 0.39   chisq2 = 15.30   ODDS = 0.24   z_cluster = 0.228