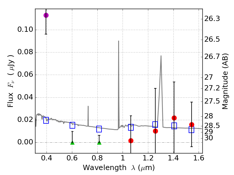
RXS0603+42-N IR detection object #5127

Color images and BPZ results
Catalog: 5127.cat
Black segments are analyzed here.   Roll mouse over color images to view segments.
Best viewed in a wide browser window (1200 pixels or more).   Download SED & P(z) plots to view larger versions.
In P(z) plots: Yellow lines mark the cluster redshift z = 0.228,  

Object #5127   x,y = (4070, 1727)   RA, Dec = (06:03:05.664, 42:15:01.44) = (90.77360, 42.25040)   BPZ = 1.598 [0.486--6.874]   type = 11.00 (SB11_A_0_l)   stellarity = 0.07   chisq2 = 9.09   ODDS = 0.13   z_cluster = 0.228