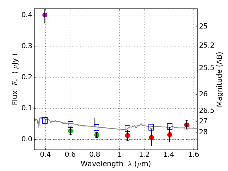
RXS0603+42-N IR detection object #5014

Color images and BPZ results
Catalog: 5014.cat
Black segments are analyzed here.   Roll mouse over color images to view segments.
Best viewed in a wide browser window (1200 pixels or more).   Download SED & P(z) plots to view larger versions.
In P(z) plots: Yellow lines mark the cluster redshift z = 0.228,  

Object #5014   x,y = (3598, 1818)   RA, Dec = (06:03:08.208, 42:15:06.84) = (90.78420, 42.25190)   BPZ = 1.856 [1.340--2.195]   type = 11.00 (SB11_A_0_l)   stellarity = 0.65   chisq2 = 41.15   ODDS = 0.38   z_cluster = 0.228